各位考生:
按照教育部和黑龙江省教育厅关于艺术类专业招生考试工作的相关要求,依据《永利23411集团2022年本科招生简章》(以下简称《招生简章》)和《永利23411集团2022年本科招生专业课考试工作方案》要求,现将学院2022年本科专业校考复试相关工作通知如下:
一、复试名单
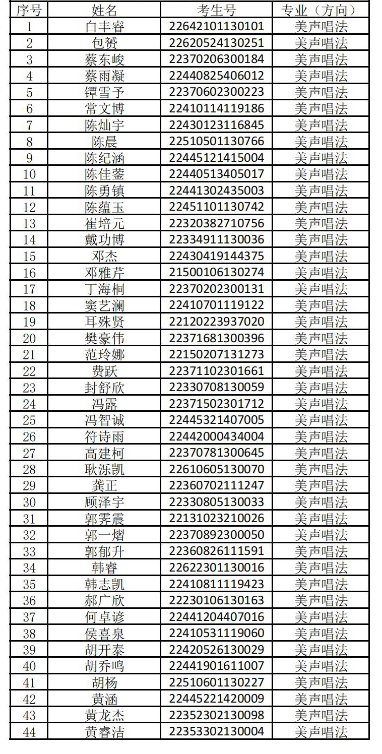
我院2022年音乐表演、音乐学、作曲与作曲技术理论、舞蹈表演本科专业校考复试名单见附件。
二、复试报名
校考复试报名时间为2月14日(周一)8:00至2月16日(周三)16:00。考生须用手机终端下载“小艺帮”APP,小艺帮APP的“报考”页面会出现考生有待确认的考试,请点进去确认考试并缴费(240元/人)。在规定时间内未缴费的考生,视为自动放弃复试。
三、复试相关要求
学院2022年本科专业校考复试内容详见《招生简章》。根据当前疫情防控要求,复试考试形式及时间将于2022年2月下旬公布,请各位考生及时关注我院官网及官方微信公众号关于本科校考的通知。
四、联系方式
考生可发送邮件至hyjwc58597688@163.com,或在“小艺帮”APP上进行在线咨询或拨打招生咨询电话0451-58597688(工作日8:30-11:30;13:30-16:30)。
永利23411集团
2022年1月27日
附件:永利23411集团2022年音乐表演、音乐学、作曲与作曲技术理论、舞蹈表演本科专业校考复试名单(按姓氏拼音排序)






























